An aqueous lithium polyacrylic acid binder enables sulfur distribution and high active material loading to enhance Li–S battery performance
Dharmapura H. K. Murthy, Pranjalee Ghosh, Syeda Reha Khadri and Manu Patel
Energy Advances

An aqueous lithium polyacrylic acid binder enables sulfur distribution and high active material loading to enhance Li–S battery performance
Dharmapura H. K. Murthy, Pranjalee Ghosh, Syeda Reha Khadri and Manu Patel
Energy Advances

The origin of annealing atmosphere-dependent defect formation and photocathodic behaviour in BiFeO3 thin films
Syeda Reha Khadri, N. V. Srihari, K. K. Nagaraja and Dharmapura H. K. Murthy
Materials Advances 6 (22), 8713-8723.

Precursor-dependent distinctive polymerization process controls optoelectronic properties in graphitic carbon nitride photocatalyst
Simon Joyson Galbao, Sherlin Samantha Menezes, Syeda Reha Khadri and Dharmapura H. K. Murthy
Polymer Chemistry 17 (1), 35-44.

Facile Tuning of the Iridium Valence State Augments Visible Light-Induced Photoelectrochemical Water Splitting in Iridium-Doped BaTiO3
Sujana Chandrappa and Dharmapura H. K. Murthy
ACS Applied Energy Materials 8 (24), 18067-18077.

Tuning the optoelectronic properties and nanostructure of silicon photoelectrodes for enhancing solar fuel production
Simon Joyson Galbao, Dhruv Aggarwal, Bruno Grandidier and Dharmapura H. K. Murthy
Communication Materials 7 (1).

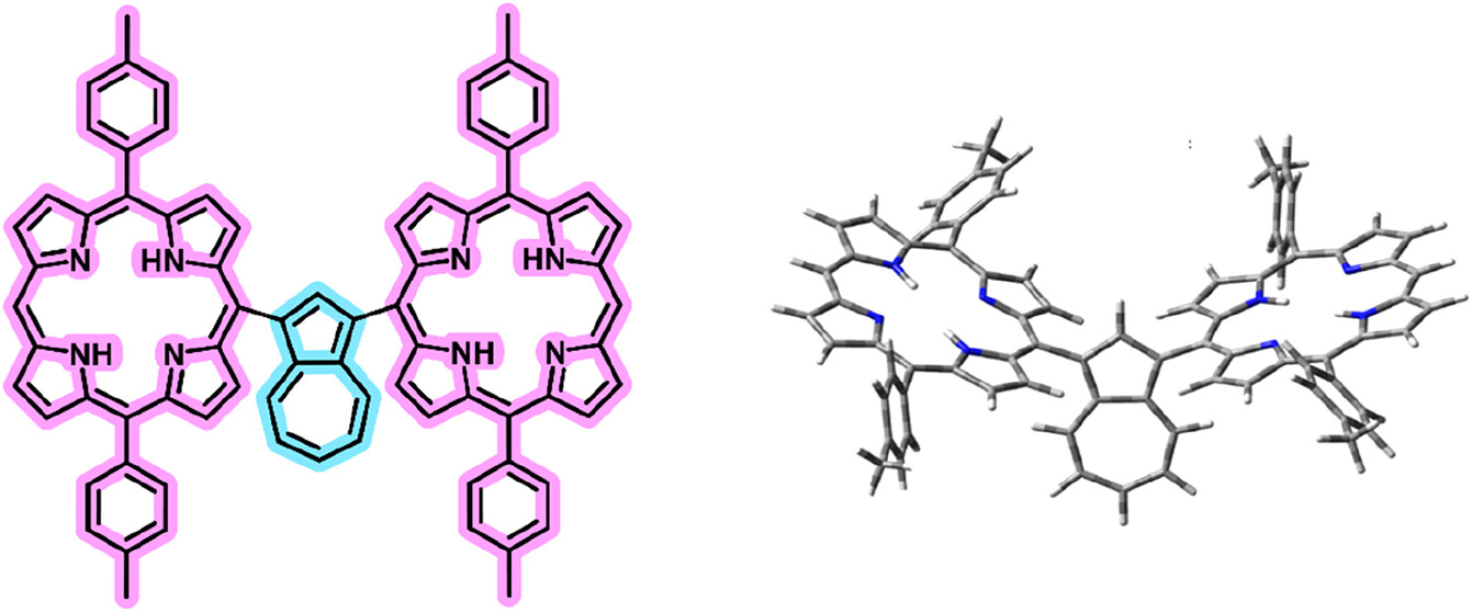
Synthesis, Optoelectronic, and Photoelectrochemical Properties of an Azulene-Bridged Porphyrin Dimer
Sahana Nagesh Shet, Dharmapura H. K. Murthy, Sujana Chandrappa, Simon Joyson Galbao, Mahendra Patil and Vijayendra S. Shetti
ACS Omega 10 (44), 52473-52482.

Unveiling Valence State-Dependent Photocatalytic Water Splitting Activity and Photocathodic Behavior in Visible Light-Active Iridium-Doped BaTiO3
Sujana Chandrappa, Stephen Nagaraju Myakala, Namitha Anna Koshi, Simon Joyson Galbao, Seung-Cheol Lee, Satadeep Bhattacharjee, Dominik Eder, Alexey Cherevan, and Dharmapura H. K. Murthy
ACS Applied Materials & Interfaces, 16(7), 8763–8771.

Oxygen Vacancies and Ti3+ In-Gap Defects Dictate Photocatalytic H2 Generation in BaTiO3
Sujana Chandrappa, PS Sankara Rama Krishnan, Stephen Nagaraju Myakala, Sreekanth Perumbilavil, CS Suchand Sandeep, Murukeshan Vadakke Matham, Dominik Eder, Alexey Cherevan, and Dharmapura H. K. Murthy
ACS Applied Energy Materials, 7(23), 11076-11085.

Origin of Enhanced Overall Water Splitting Efficiency in Aluminum-Doped SrTiO3 Photocatalyst
Dharmapura H. K. Murthy, Vikas Nandal, Akihiro Furube, Kazuhiko Seki, Ryuzi Katoh, Hao Lyu, Takashi Hisatomi, Kazunari Domen, Hiroyuki Matsuzaki
Advanced Energy Materials 2023, 13, 2302064

Iridium-Doping as a Strategy to Realize Visible-Light Absorption and p-Type Behavior in BaTiO3
Sujana Chandrappa, Simon Joyson Galbao, P. S. Sankara Rama Krishnan, Namitha Anna Koshi, Srewashi Das, Stephen Nagaraju Myakala, Seung-Cheol Lee, Arnab Dutta, Alexey Cherevan, Satadeep Bhattacharjee, and Dharmapura H. K. Murthy
The Journal of Physical Chemistry C 127 (25), 12383-12393.

Extending the Optical Absorption Limit of Graphitic Carbon Nitride Photocatalysts: A Review
Sujana Chandrappa, Simon Joyson Galbao, Akihiro Furube, and Dharmapura H. K. Murthy
ACS Applied Nano Materials 2023 6 (21), 19551-19572

Simon Joyson Galbao, Sujana Chandrappa, and Dharmapura H. K. Murthy
Towards Hydrogen Infrastructure (2024): 77-98